1. Pengertian Bentuk Aljabar
Bentuk aljabar adalah kalimat matematika yang memuat variabel (biasanya berupa huruf-huruf) untuk mewakili bilangan yang belum diketahui.
2. Operasi Bentuk Aljabar
a. Penjumlahan dan Pengurangan Bentuk Aljabar
Penjumlahan dan pengurangan bentuk aljabar dapat dilakukan pada suku-suku sejenis.
Contoh:
5x + 3y - 2x + y = 5x - 2x + 3y + y
3xy - yz + 2xy = 3xy + 2xy - yz
= 5 xy - yz
b. Perkalian Bentuk Aljabar
1) Perkalian suku satu dengan suku dua
a) 3 (2x - 5y) = 3.2x + 3.(-5y)
= 6x - 15 y
b) k (a + 2b) = ka + 2kb
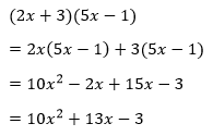
2) Perkalian suku dua dengan suku dua
a) Dengan hukum distributif
b) Dengan skema
1) Perkalian suku satu dengan suku dua
a) 3 (2x - 5y) = 3.2x + 3.(-5y)
= 6x - 15 y
b) k (a + 2b) = ka + 2kb
2) Perkalian suku dua dengan suku dua
a) Dengan hukum distributif
b) Dengan skema
3. Pemfaktoran Bentuk Aljabar
a. Suku-suku dengan faktor yang sama
ax + ay = a (x + y)
Contoh:
5x + 10y = 5x + 5.2y = 5 (x + 2y)
b. Selisih bentuk kuadrat
Contoh:
c. Pemfaktoran bentuk x2 + bx + c
d. Pemfaktoran bentuk ax2 + bx + c
Contoh:
a. Suku-suku dengan faktor yang sama
ax + ay = a (x + y)
Contoh:
5x + 10y = 5x + 5.2y = 5 (x + 2y)
b. Selisih bentuk kuadrat
Contoh:
c. Pemfaktoran bentuk x2 + bx + c
Contoh:
1) x2 + 5x + 6
c = 6= 2 x 3
b = 5 = 2 + 3
x2 + 5x + 6 = (x + 2)(x + 3)
2) x2 + 2x -8
c = -8 = -2 x 4
b = 2 = -2 + 4
x2 + 2x - 8 = (x - 2)(x + 4)
d. Pemfaktoran bentuk ax2 + bx + c
Contoh:
4. Menyederhanakan Pecahan Bentuk Aljabar
Cara menyederhanakan pecahan bentuk aljabar yaitu dengan memfaktorkan pembilang dan penyebut, kemudian menghilangkan faktornya yang sama.
Contoh soal
Cara menyederhanakan pecahan bentuk aljabar yaitu dengan memfaktorkan pembilang dan penyebut, kemudian menghilangkan faktornya yang sama.
Contoh soal
= 3x + 4y











Tidak ada komentar:
Posting Komentar